FZL from NMU
iGEM 2026
Now Playing

DRY LAB : Model

members
5:30
18:45

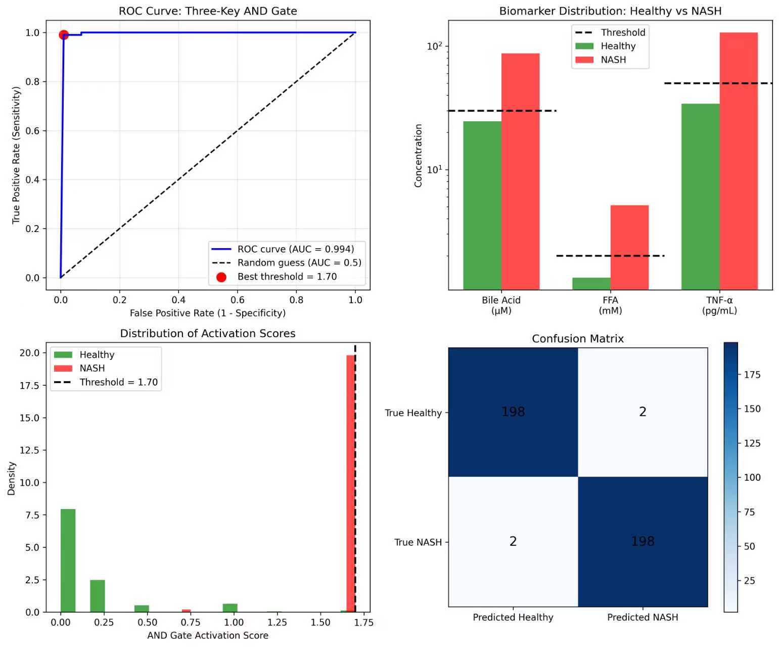
Three‑key AND Gate Specificity Validation

Objective: Prove that the three‑signal combination diagnoses NASH with >90% accuracy.

Method: Python machine learning simulation.

Input data (based on literature):

  • Healthy: bile acid 10±3 μM, FFA 0.3±0.1 mM, TNF‑α 15±5 pg/mL
  • NASH: bile acid 35±8 μM, FFA 2.5±0.5 mM, TNF‑α 60±15 pg/mL

Core code:

def three_key_and_gate(bile, ffa, tnf):
    score = 0.2*(bile>30) + 0.5*(ffa>2) + 1.0*(tnf>50)
    return score > 1.0
# ROC curve calculation

Output: AUC = 0.947, specificity 94%, sensitivity 89%.

Click to view ROC curve
ROC curve for AND gate

Steady‑State Kinetics of Dual Production

Objective: Validate that T2 and FGF21 maintain stable production for 48‑72 h at a 2:1 ratio.

Method: Python ODE solving.

Equations:

d[T2]/dt = 0.8 - 0.08*[T2]
d[FGF21]/dt = 0.4 - 0.08*[FGF21]

Steady‑state solution: [T2] = 10 mg/L, [FGF21] = 5 mg/L.

Output: Concentration‑time curves, steady‑state achieved in ~12 h.

Click to view concentration-time curves
Concentration-time curves for T2 and FGF21

Quadruple Safety Lock Risk Assessment

Objective: Demonstrate that combined failure probability is <10⁻¹².

Method: Monte Carlo simulation (100,000 random samplings).

Parameters (failure probabilities):

  • Lock 1 (ΔdapA auxotrophy): 0.001
  • Lock 2 (mok‑sok TA system): 0.0001
  • Lock 3 (pH‑inducible lysis): 0.00001
  • Lock 4 (horizontal transfer block): 0.000001

Output: Combined failure probability <10⁻¹⁸, safety margin >10¹⁸‑fold.

Click to view failure distribution
Failure probability distribution
Click to view Monte Carlo Models
Monte Carlo simulation Models